1 引言
随着我国城市污水处理设施建设的迅速发展,城市污水处理能力得到了提升,缓解了我国转型发展中水环境污染的压力; 但高能耗问题也随之凸显,污水处理行业因其能耗大而倍受关注[1]. 如何不断深入污水处理的可持续发展理念,降低污水处理过程中的能源消耗,成为污水处理领域密切关注的话题.
国内外学者在探索污水处理过程节能优化方面取得了一定的研究成果. Amand[2]基于简化的污水处理基准模型,仿真实现了在平均出水氨氮浓度达标的限制下,使曝气系统的操作变量(氧传递系数Kla)达最小值以减少能量损耗; Kandare[3]等提出一种自适应预测专家控制方法,通过预测运行过程条件的变化,实现溶解氧浓度(DO)的精确稳定控制并降低能耗; 张平[4]设计的前馈—串级控制器实现了对溶解氧浓度的控制,出水水质严格达标的同时运行费用也达到最小化; 史雄伟[5]采用改进型粒子群优化算法对控制器的设定值进行等时段动态调整; Wu等[6]设计的降阶观测器作用于污水处理曝气环节,实现了根据入水负荷进行优化曝气,节省了曝气能耗. 以上成果推进了污水系统的优化控制研究.
由于污水入水各参数具有时变和不确定性,控制器的最优设定值受入水变化影响很大,如果采用固定设定值或者固定优化周期的策略,不根据污水入水的变化情况进行自适应调整,无法保证设定值适合入水状况或者出现过度计算; 且以往的研究多以活性污泥系统简化后的状态空间方程[4, 7]为系统模型,而近年来,国际水协会提出的基准仿真模型(benchmark simulation model No.1,BSM1)可以全面准确地反映污水系统的动态特性,成为各国学者认可的污水系统数学模型[6, 8, 9]. 因此本文将在BSM1模型的基础上,利用有序样本聚类的理论方法,根据入水数据变化情况进行有序样本聚类分段,采用具有全局搜索能力的人工免疫算法确定各分段时间内控制参数的最优设定值,对系统实施分时段优化控制策略,最后通过仿真证明该控制策略的节能效果.
2 污水系统的自适应优化策略 2.1 系统模型BSM1污水处理过程是一个复杂的非线性系统,伴随着各种物理和生化反应,入水流量和负荷也有巨大的扰动. 自研究以来,国内外学者提出了各种先进的控制策略,而要进行各种方案的评估和比较,一个客观标准的评价是非常必要的. 污水生化处理仿真基准模型BSM1应运而生,它以国际水协会活性污泥1号模型(activated sludge model No.1,ASM1)为基础定义了污水处理的设备布局、 仿真模型、 污水负荷、 测试程序和评价标准,已成为在国内外学者的研究中被广泛使用的模型,其总体布局如图 1所示. 本文也将在BSM1平台上进行仿真实验,比较在不同控制策略作用下的系统平均能耗和出水水质,从而验证优化控制策略的效果.
![]() |
| 图 1 BSM1设备布局Fig. 1 Overview of the BSM1 plant |
如图 1所示,BSM1模型由2个缺氧池、 3个好氧池和1个二沉池组成,它利用活性污泥法,在好氧池内悬浮的微生物群体的凝聚、 吸附、 氧化分解等作用下去除污水中的有机物. 在废水和活性污泥接触初期,有机物被大量吸附,经水解后被微生物摄入体内进行氧化分解和同化作用. 活性污泥法利用异养菌以有机物为底物处理污水,活性污泥中还有以氮、 硫或其它化合物为底物的自养菌,如硝化细菌. 在好氧池中,硝化菌从氧化反应中获得所需能量,从碱度中获得所需碳源,通过进行硝化反应将氨氮氧化为亚硝酸盐和硝酸盐,后经混合液回流到缺氧池中,在没有溶解氧的条件下异养菌(反硝化细菌)利用有机物将亚硝酸盐或硝酸盐还原为氮气和水. 此过程可通过设定第5个池子好氧池末端的溶解氧浓度SO5和第2个池子缺氧池末端的硝酸氮浓度SNO2来运行实现: SO5将保证硝化反应的效果,SNO2将影响混合液的回流量Qr,从而实现污水的脱氮净化.
2.2 基于人工免疫的自适应优化策略 2.2.1 污水系统节能优化目标降低污水处理厂能耗的关键在于降低电耗. 电能的消耗主要来自两个方面——提升单元(水泵)和生化反应单元(鼓风曝气系统),即内外回流量和好氧池曝气量. 本文把节能措施确定为混合液内回流泵送能耗优化和鼓风机曝气能耗优化. 其中缺氧池末端的硝酸氮浓度SNO2通过调节内回流流量Qa来控制; 鼓风机通过向好氧池曝气来调节氧传递系数,控制DO浓度. 鼓风能耗AE和泵送能耗PE有如下表达式:


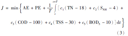
另外,实现节能降耗的前提是出水水质达标,根据国际水协会定义,出水水质必须满足总氮TN<18 g/m3、 化学需氧量COD<100 g/m3、 硝酸氮SNH<4 g/m3、 固体悬浮物TSS<30 g/m3、 5天生化需氧量BOD5<10 g/m3. 因此,将采用惩罚机制将优化问题的目标函数设定为

本文采用有序样本聚类和人工免疫算法,设计了一种自适应分段优化策略,该优化策略由3个主要部分构成: 自适应分段,控制器最优设定值寻优和污水控制器设计. 污水控制器设计部分,本文采用BSM1模型中提供的改进型PI控制器,建立了好氧池末端溶解氧浓度SO5和缺氧池末端硝酸氮浓度SNO2的控制器,根据国际水协与欧盟科学技术合作组织定义的常规恒值控制策略[10],通过这两个调节器调节好氧池末端的氧传递系数和内循环回流量,使得SO5和SNO2分别达到设定值2 g/m3和1 g/m3. 分析可知,经过自适应分段后再对每个时段进行控制器设定值的寻优,可实现污水处理系统的动态优化,保证优化效果.
2.2.3 污水系统入水数据的自适应分段由于污水入水数据属于按时间有序排列的数据,本文将采用有序样本聚类法对数据进行聚类. 有序样本聚类法是英国学者Fisher[11]提出的一种统计分析算法. 该方法可以保证被分类的样本对象保持原有的排列顺序,比如按时间先后顺序排序的样本,其聚类结果也保持该次序. 本文针对污水入水数据是以时间先后顺序采样得到这一特点,采用有序样本聚类法来实现污水生化处理系统控制时段的划分.
Fisher有序样本聚类法的基本思想是先把N个样本看作一类,再依据所定义的类的直径和损失函数,在递推计算中逐步增加分类数,以寻找到使损失函数最小的最优分类,故该方法又称为最优分割法. 也就是说,在N个有序样本分为k(k
设有样本容量为N的有序样本{X(1),X(2),…,X(N)}(X(i)为m维向量),要求将其分为k类,用b(N,k)表示某一种分法,如G1={i1,i1+1,…,i2-1},G2={i2,i2+1,…,i3-1},…,Gk={ik,ik+1,…,N},其中1=i12<…k<N. 设某一类G包含的样品有{X(i),X(i+1),…,X(j)}(j>i),记为G={i,i+1,…,j}. 该类的均值向量
,用D(i,j)表示G这一类的直径:



,它表示第t类样本的距离平方和. 如果分法b*(N,k)使得
,则分法b*(N,k)就是N个有序样本分为k类的最优解. 求解过程中用到的两个核心递推公式为

人工免疫算法(immune algorithm,IA)是模拟自然免疫系统的人工智能方法,它受生物免疫机制的启发,实现了类似于生物免疫系统的抗原识别、 细胞分化、 记忆和自我调节的功能,特别是学习、 记忆等功能,是区别于其它算法的重要特性[12]. 免疫算法采用群体搜索策略,通过计算亲和度对抗体进行评价. 国内外学者对基本IA算法的改进进一步强调了对抗体群个体评价的全面性[13, 14]. 本文借助了克隆选择、 变异和免疫记忆机理,同时针对抗体浓度对抗体的产生进行促进和抑制,保证了免疫算法的搜索能力.
以“天”为优化周期,依据序样本聚类法针对每日的污水入水数据波动情况进行分类,令分段结果为n,采用具有全局优化能力的人工免疫算法来寻找各时段控制器最优设定值SO5和SNO2的具体步骤如下:
(1) 令起始时间t=0,优化周期T=d.
(2) 初始化抗体种群数、 迭代次数,产生初始抗体群. 由于一天被分成了n个控制区间,每个区间将寻优出一对SO5、 SNO2设定值,故抗体的维数确定为2n,在两个设定值SO5和SNO2的取值范围0
(3) 运行BSM1系统模型. 将抗体群中每个2n维的抗体依次赋值给一天中相应寻优时间段的寻优参数SO5和SNO2,如此连续运行BSM1模型一天,按(1)式计算得到当天的性能指标J值,通过抗体群的J值比较得到最优的抗体并记录下来.
(4) 根据免疫操作机制对抗体种群进行迭代更新. 包括促进和抑制抗体的产生,即高亲和力抗体受到促进,高浓度抗体受到抑制,采用精英保留策略产生记忆细胞库,并基于选择因子、 克隆因子和变异因子进行抗体的选择、 克隆和变异操作.
(5) 判断是否达到迭代次数,若没有则重复步骤(2)和(3); 若达到迭代次数则退出寻优,并输出该天连续n个时段的最优SO5和SNO2设定值.
(6) 令时间t=t+1,返回步骤(2)进行第t天各控制时段的参数最优设定值,直至完成所需优化的总天数.
基于有序样本序列聚类的原理,根据入水数据的波动情况来划分控制时段,对5号好氧反应池的溶解氧浓度的设定值和2号缺氧反应池的硝酸氮浓度的设定值进行动态调整. 此处以晴好天气下某一天的入水数据为例,描述实现有序样本聚类的过程:
(1) 选取入水指标变量. 国际水协提供入水文件中的污水组分为ASM1中对应的13种元素[15],采样间隔为15 min,出水水质常要考察的5个变量分别是总氮TN、 化学需氧量COD、 硝酸氮SNH、 固体悬浮物TSS和5天生化需氧量BOD5,由入水的13种组分可获取这5个指标的入水数据. 考虑到入水流量Q的变化对入水指标浓度的影响很大,因此本文选取5个指标的入水数据和入水流量Q作为聚类入水指标变量. 即选取的污水处理厂入水数据有序样本的维数为6. 图 2绘制了晴天条件下某一天的入水变量波动曲线.
(2) 多维变量的预处理. 由图 2可知,入水流量Q的量纲明显大于其它几个变量,为了在分类中能显现出多维变量中信息相对全面而综合的特点,保证分类的合理性,本文将在有序样本聚类之前考虑对多维入水变量进行预处理,使之转换成适合于挖掘的形式. 由于用来聚类的各属性数据(入水COD,BOD,SNH,TN,TSS,Q)不在同一个数量级上,因此我们将对样本数据进行规范化,将有关属性数据按比例投射到一定的小范围内之后再用于聚类. 此处拟采用零—均值(z-score)规范化方法,将属性A中的值v规范为v′的计算式为
(3) 获得最优分类解. 在步骤(2)得到规范化后的有序样本变量后,可在Matlab上编程实现式(4)计算直径{D(i,j)}. 因每15 min采样一个数据点,一天内就有97个样本数据,则有1≤i<j≤97. 再由(5)、 (6)式计算最小损失函数{L[b(l,k)]},3≤l≤97,2≤k≤96,作出L[b*(N,k)]随k变化的趋势图 3,可以看出曲线在k=4,5,6处拐弯,故分为4~6类较好,考虑到细分为4类以上后会出现个别控制时间段过短的情况,因此这里选择分为4类比较恰当.
确定分类数k=4后返回查找分段节点,最终可得到晴天条件下某一天的聚类结果为{0~3.25 h,3.25~9.5 h,9.5~12.25 h,12.25~24 h}. 雨天和暴雨天的分段情况可同理获得. 不同天气状况下聚类结果略有差异. 接下来将在每天进行4个连续时段好氧池末端的溶解氧浓度SO5设定值和缺氧池末端的硝酸氮浓度SNO2设定值的寻优操作,从而实现不同控制时段内曝气量和内回流量的控制.
考虑到污水生化处理系统是个大滞后系统,考虑加入系统的水力停留时间(HTR). 根据BSM1的模型设计,系统的水力停留时间约为14.4 h[16]. 因此,在寻优过程中加入了14.4 h的滞后时间,令BSM1的Simulink模型综合运行[0,24+14.4 h]时间段,计算[14.4 h,24+14.4 h]时段对应的出水指标平均值及能耗值,考虑了滞后因素的寻优过程更符合污水处理的实际情况.
仿真过程中发现,在常规恒值控制策略下(SO5=2 g/m3和SNO2=1 g/m3)的5个出水指标中,即使是最容易超标的硝酸氮SNH和总氮TN浓度,其每日的平均值均能够满足排放标准. 那么在连续的分段寻优过程中,每日的出水水质平均值也理应符合排放标准. 反应到目标函数式(3)中,只需令惩罚因子ci尽量大从而绝对地淘汰掉出水超标的抗体.
结合上述的滞后因素和惩罚处理方法,按照最优设定值的人工免疫寻优算法步骤得到晴天条件下一周内各时段的SO5和SNO2最优设定值如图 4所示. 观察曲线大致趋势发现,设定值在每日的第二时段内达最小,在第三时段达到最大,这与图 2所示每日的污水入水数据的总体走势相符,即在污水有机物浓度高时,给予系统的控制作用也相应增大; 而在污染物浓度略低时,控制作用减小.
为了验证本文所提出自适应优化控制策略的有效性,除了与常规恒值控制策略进行对比外,还与文[17]中的传统人工免疫优化控制策略进行比较,该策略每天为控制器设定一个恒定的优化值,简称为“免疫优化控制”,本文提出的算法简称为“自适应优化控制”以示区分. 为了客观体现控制策略节能降耗的效果,仿真试验中,我们控制使得3种方案的出水水质均达标且保持在相近水平. 由表 1仿真数据比较可知,自适应优化控制平均每日的鼓风能耗比常规控制下降低了4.20%,泵送能耗降低了3.15%,运行能耗降低了4.14%; 比免疫优化控制下的鼓风能耗降低了2.04%,泵送能耗降低了0.7%,总运行能耗降低了1.96%,证明了自适应优化控制策略节能降耗的有效性.
同样,再以雨天和暴雨天的入水数据进行试验,证明本文提出控制策略的鲁棒性. 雨天和暴雨天寻优操作结果见表 2. 雨天条件下,自适应优化控制的鼓风能耗比常规控制下降低了2.63%,泵送能耗降低了4.03%,总运行能耗降低了2.75%; 比免疫优化控制的鼓风能耗降低了1.3%,泵送能耗降低了2.22%,总运行能耗降低了1.34%. 暴雨天条件下,自适应优化控制平均每日的鼓风能耗比常规控制下降低了2.78%,泵送能耗降低了2.37%,总运行能耗降低了2.76%; 比免疫优化控制的鼓风能耗降低了1.25%,泵送能耗降低了1.63%,总运行能耗降低了1.28%. 可见,基于有序样本聚类和人工免疫的自适应优化控制策略在有效处理污水的同时能进一步降低系统运行能耗.
为了解决污水系统入水数据波动对系统控制造成的干扰问题,本文提出一种自适应优化控制策略,采用基于有序样本聚类和人工免疫的自适应优化控制策略,对好氧池末端溶解氧浓度设定值和缺氧池末端硝酸氮浓度设定值进行动态优化. 自适应分段后再对每个时段进行控制器设定值的寻优,可实现污水处理系统控制器在控制时间和控制数值两个层面的优化,保证优化效果. 以国际水协会提供的基准仿真模型BSM1为基础,综合考虑出水排放标准和运行能耗,在不同天气入水条件下仿真,本文提出的自适应优化控制策略都显示了良好的节能降耗效果. 
图 2 晴天条件下某一天的入水变量变化曲线Fig. 2 Influent variable curves in one day of dry weather
其中,
和σA分别为属性A的平均值和标准差. 
图 3 损失函数随k变化曲线Fig. 3 Changing curve of loss function with the value of k 
图 4 晴天条件下7天自适应优化控制的SO5和SNO2最优设定值Fig. 4 The best section setting values of SO5 and SNO2in 7 days of dry weather
鼓风能耗AE 泵送能耗PE 总能耗P SNH TN BOD5 COD TSS (kW·h/d) (kW·h/d) (kW·h/d) (g/m3) (g/m3) (g/m3) (g/m3) (g/m3)
常规控制 3 694.7 241.6 3 936.3 2.272 5 16.752 5 2.667 0 47.602 7 12.540 3 免疫优化控制 3 613.2 235.7 3 848.9 2.367 0 16.819 2 2.672 6 47.632 0 12.553 5 自适应优化控制 3 539.6 234.0 3 773.6 2.398 2 16.666 5 2.679 9 47.678 3 12.581 8
鼓风能耗AE 泵送能耗PE 总能耗P SNH TN BOD5 COD TSS (kW·h/d) (kW·h/d) (kW·h/d) (g/m3) (g/m3) (g/m3) (g/m3) (g/m3)
雨天 常规控制 3 670.3 285.2 3 955.5 2.906 5 15.383 5 3.064 9 45.250 1 14.288 4 免疫优化控制 3 619.7 279.9 3 899.6 2.886 9 15.490 2 3.068 1 45.258 6 14.292 6 自适应优化控制 3 573.6 273.7 3 847.3 2.870 5 15.275 0 3.079 6 45.280 5 14.344 1 暴雨天 常规控制 3 718.5 265.6 3 984.1 2.801 4 16.052 8 2.840 6 46.075 8 13.427 8 免疫优化控制 3 660.9 263.6 3 924.5 2.891 1 16.048 1 2.851 0 46.140 5 13.464 9 自适应优化控制 3 615.0 259.3 3 874.3 2.891 6 15.940 2 2.861 6 46.117 4 13.513 2
| [1] | 曹珊,曹秀芹. 城市污水处理厂能耗分析及节能降耗途径研究[J]. 给水排水,2012,38(S1): 90-92. Cao S,Cao X Q. The research on energy consumption analysis and energy saving approach of urban wastewater treatment plant[J]. Water & Wastewater Engineering,2012,38(S1): 90-92. |
| [2] | Amand L,Carlsson B. Optimal aeration control in a nitrifying activated sludge process[J]. Water Research,2012,46(7): 2101-2110. |
| [3] | Kandare G,Nevado R A. Adaptive predictive expert control of dissolved oxygen concentration in a wastewater treatment plant[J]. Water Science and Technology,2011,64(5): 1130-1136. |
| [4] | Zhang P,Yuan M Z,Wang H. Improvement of nitrogen removal and reduction of operating costs in an activated sludge process with feedforward-cascade control strategy[J]. Biochemical Engineering Journal,2008,41(1): 53-58. |
| [5] | 史雄伟,乔俊飞,苑明哲. 基于改进粒子群优化算法的污水处理过程优化控制[J]. 信息与控制,2011,40(5): 698-703. Shi X W,Qiao J F,Yuan M Z. Optimal control for wastewater treatment process based on improved particle swarm optimization algorithm [J]. Information and Control,2011,40(5): 698-703. |
| [6] | Wu J,Luo J X. Aeration control of activated sludge wastewater treatment process using optimal control[C] //Proceedings of the 10th World Congress on Intelligent Control and Automation. Piscataway,NJ,USA: IEEE,2012: 4969-4973. |
| [7] | 刘超彬,乔俊飞,张芳芳. 污水处理过程中溶解氧的模糊神经网络控制[J]. 山东大学学报: 工学版,2005,35(3): 83-87. Liu C B,Qiao J F,Zhang F F. Fuzzy neural network controls of dissolved oxygen in the wastewater treatment processes[J]. Journal of Shandong University: Engineering Science,2005,35(3): 83-87. |
| [8] | Cristea S,Prada C,Sarabia D,et al. Aeration control of a wastewater treatment plant using hybrid NMPC[J]. Computers & Chemical Engineering,2011,35(4): 638-650. |
| [9] | Carlos A C B,Rui A M A,Jorge A C L. Dissolved oxygen control of the activated sludge wastewater treatment process using stable adaptive fuzzy control[J]. Computers & Chemical Engineering,2012,37(10): 152-162. |
| [10] | Alex J, Benedetti L, Copp J, et al. Benchmark simulation model No.1(BSM1)[R]. Lund, Sweden: Lund University, 2008. |
| [11] | Fisher W D. On grouping for maximum homogeneity[J]. American Statistical Association Journal, 1959, 53(12): 789-798. |
| [12] | Xu B, Zhuang Y, Xue Y, et al. Self-adaptive learning based immune algorithm[J]. Journal of Central South University, 2012, 19(4): 1021-1031. |
| [13] | 叶洪涛, 罗飞, 许玉格. 改进的免疫算法及其在函数优化中的应用[J]. 系统工程与电子技术, 2011, 33(2): 464-467.Ye H T, Luo F, Xu Y G. Improved immune algorithm and its applications to function optimization[J]. Systems Engineering and Electronics, 2011, 33(2): 464-467. |
| [14] | Woldemariam K M, Yen G G. Vaccine-enhanced artificial immune system for multimodal function optimization[J]. IEEE Transactions on Systems, Man, and Cybernetics, Part B: Cybernetics, 2010, 40(1): 218-228. |
| [15] | Henze M, Grady C P L, Gujer W, et al. Activated sludge model No.1[R]. London, UK: IAWQ, 1986. |
| [16] | Jeppsson U, Rosen C, Alex J, et al. Towards a benchmark simulation model for plant-wide control strategy performance evaluation of WWTPs[J]. Water Science and Technology, 2005, 53(1): 287-295. |
| [17] | 许玉格, 宋亚龄, 罗飞, 等. 基于人工免疫算法的污水处理系统节能优化[J]. 华南理工大学学报: 自然科学版, 2013, 41(8): 34-40.Xu Y G, Song Y L, Luo F, et al. Energy-saving optimization of wastewater treatment system based on artificial immune algorithm[J]. Journal of South China University of Technology: Natural Science Edition, 2013, 41(8): 34-40. |




